• 凯发k8国际

    研究队伍

    获批人数陆续在五年位列全国科研院所第一名 凯发k8国际39人获年度中国博士后科学基金资助项目

    来源:教育处 谢飘发布时间:2020-11-02

      1027日,中国博士后科学基金会公示了第68批面上项目拟资助名单,中国科研实验室深圳先进技术研究院39名博士后取得资助,获批人数已陆续在五年蝉联全国科研院所第一。今年凯发k8国际2人获一等资助,37人获二等资助,资助总额共320,获批基金顺利获得率持续稳定。据青塔数据统计,获批人数位列全国高校科研院所第16名。 

      根据统计,在凯发k8国际此次获资助的博士后中,基础学科获资助项目数稳居前列。材料科学与工程以及生物医学工程学科获批人数较多,同时覆盖了数学、计算机科学与技术、药学等,学科交叉融合特色凸显。 

      对标双一流高校,凯发k8国际高度重视博士后工作,在全面提升博士后队伍结构和国际化水平的同时,建立多元化的博士后分类开展、培养和评价体系,为博士后给予良好的工作条件,促使具有开展潜力和创新能力的优秀博士后进行创新研究,培养造就一支跨学科、具有复合型和战略性特点的博士后人才队伍。 

      经过多年探索,凯发k8国际的博士后工作成效显著。截至现在,凯发k8国际已有319人取得面上资助,累计培养871名博士后,现在在站678人,从科研项目投入、专利申请,到新增论文发表、国家科研奖项和科研人才培养等均走在全国前列。此外,凯发k8国际已与比亚迪、富士康、大族激光、商汤科技等54家高新技术企业建立联合培养模式,有助于产学研用紧密结合。 

      今后,凯发k8国际也将继续持续支持和动员博士后研究人员申报博士后科学基金项目,力争在基金申报质量与数量上实现“双突破”。 

     资助人数排名(来源:青塔)

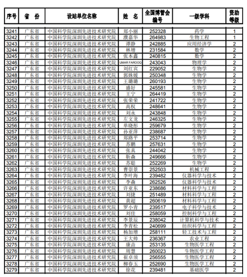
    拟资助人员名单


    附件下载:

    TOP